回答

エアーコンプレッサーの理論断熱動力式から、吐出圧力が高いほど大きな動力を必要とすることが分かります。例えば、吐出圧力を0.8MPa-absから0.1MPa下げられたときは、理論上、約8%の動力低減が図れ、漏れ空気量の低減効果を加味すると10%程度が期待できそうです。

圧縮空気の用途は動力、搬送、塗装からブローまで様々です。そのため、エアーコンプレッサーは工場だけでなくビルや病院などでも使用されています。エアーコンプレッサーの消費電力は工場の全消費電力量の10~30%を占めるため、エアーコンプレッサーの省エネをテーマとした多くの取り組みがなされ、成果を上げています。

今回は、エアーコンプレッサーの吐出圧力低減による省エネ効果についてご説明します。

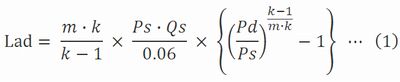
エアーコンプレッサーの理論断熱動力は下式で表され、吐出圧力が高いほど大きな動力を必要とします。

数式

ここで、
Lad:理論断熱動力[kW]
m:圧縮段数
k:比熱比(空気の場合は1.4)
Ps:第1段の吸込空気圧力[MPa-abs]
Pd:吐出圧力[MPa-abs]
Qs:吸い込み状態に換算した吐出流量(注1)[m3(*)/min]

* m3=立方メートル、以下同

圧縮空気は、エアーコンプレッサーで製造された後、空気配管を通り、圧縮空気を使う空気機械に供給され消費されます。例えば、圧縮空気をエアーシリンダーなどで動力として使用する場合の使用圧は0.4MPa前後であり、この使用圧に配管での圧力損失を加えた圧力が、エアーコンプレッサーで必要な吐出圧力となります。

(1)式の関係をグラフ化すると下図(出典:省エネルギーセンター)の通りとなります。

式のグラフ化

吐出圧力を0.8MPa-absから0.1MPa下げられたときは、理論上、約8%の動力低減が図れることが分かります。

一般工場での圧縮空気の漏れは20%程度あると言われています。漏れ空気量は圧力に比例するため吐出圧力が0.8MPa-absから0.1MPa下げられたときは漏れ空気量を12.5%(=0.1÷0.8×100)減らせ、2.5%(=12.5×0.2)の省エネとなります。したがって、エアーコンプレッサー吐出圧力を0.1MPa低減することによる省エネ効果として、10%(≒8+2.5)程度を期待できそうです。

以下に、既存の圧縮空気システムでエアーコンプレッサーの吐出圧を下げるための対策案を示します。

  • 圧縮空気を使う空気機械の設定圧を下げる・・・アクチュエータは一般的に0.2~1.0MPaで動作するように製作されているため下げられる可能性があります。また、操業時の圧力変動を抑えることができれば設定圧を下げることができます。
  • 吸気フィルターの清掃または交換・・・吸気フィルターが詰まると吸込み圧力が低下し結果として圧縮比(Pd/Ps)が大きくなります。
  • 給油式スクリュー圧縮機の油回収エレメントの交換
  • ラインオイルフィルターのエレメント交換
  • ユーザーラインごとに遮断弁を設置・・・空気漏れの回避。なお、遮断弁はボール弁やバタフライ弁をご使用ください(玉形弁は不適)。ある程度の改造ができるなら、下記の対策を追加実施することをお奨めします。
  • 配管サイズの適正化・・・配管の圧力損失は配管口径の5乗に反比例します。したがい、適正な配管口径が必要です。ドライヤを含めた配管での全圧力損失を0.05MPaを目標に、0.1 MPa程度に抑えてください。
  • 配管中のバルブ選定・・・圧縮空気配管でのバルブは全開と全閉操作だけを行い、流量調整は行いません。この点から玉形弁があればボール弁やバタフライ弁に更新することを提案します。なお、ボール弁は接続径と内部径が同じフルボアタイプを選定願います。

注1:JIS-B0142(圧・空気圧システム及び機器?用語)では、温度20℃、絶対圧力760mmHg、湿度65%での湿り空気の状態を「吸込状態空気量」と規定し、エアーコンプレッサーの吐出空気量はこの条件での数値を表示しています。基準状態(温度0℃、絶対圧力760mmHg、湿度0%での乾燥空気)との関係は【基準状態空気量=0.92×吸込状態空気量】となります。

回答者

技術士(衛生工学) 加治 均